电商直播带货中社会临场感对消费者行为的影响机理研究
admin 2025年4月9日 14:26:35 tpwallet最新版官网 201
比特派钱包2025官网下载:bit114.app,bit115.app,btp1.app,btp2.app,btp3.app,btbtptptpie.tu5223.cn
在电商直播风头正劲的当下,我们不禁要问:现场感究竟怎样作用于消费者的抉择?其背后的原理又是什么?接下来,我们将对此进行详细的分析。
研究背景与理论基础
电商直播行业迅速成长,对消费者购物决策的影响力日益显著。本研究基于社会临场感这一理论,结合了SOR理论和AISAS模型进行探讨。SOR理论阐释了外界刺激对个人心理及行为的作用机制,AISAS模型则描绘了消费者从关注到搜索,再到采取行动及分享的完整过程,为本研究奠定了稳固的理论基础。
编号为2022JJ30217的项目展现了研究的学术规范与严谨。在此前提下,融入了愉悦和信任等元素,我们建立了社会临场感对消费者意愿的影响模型。这一模型将有助于深入分析电商直播带货中消费者的动机。
研究对象与假设提出
本次研究主要针对电商平台消费者进行探讨,并依据电商直播的特点进行深入分析。在网络直播销售过程中,商品的社会现场感、消费者的现场感以及信任感,被普遍认为对消费者的购买决策起着关键作用。借鉴了Lu等人的研究成果,他们认为社会现场感中的社会因素能正向促进消费者对商家的信任,因此提出了若干假设,为后续的实证研究指明了道路。
研究指出,在网络直播购物中,商品的社会临场感以及消费者的个人临场感等众多方面,都会对消费者的购买决策产生影响。为了确保这些假设的真实性和可信度,必须进行细致的实证研究来加以证实。
变量选取与模型构建
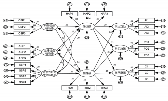
以“商品社会临场感”、“主播社会临场感”以及“消费者购物社会临场感”作为外部刺激,运用SOR理论和AISAS模型,构建了电商直播平台社会临场感对消费者行为影响的模型。该模型从刺激因素着手,分析了消费者在接收到信息刺激后所产生的心态和行动上的变化。

模型力求明确展示社会临场感的各个要素与顾客行为间的联系,诸如商品的社会临场感如何作用于顾客的注意力和购买欲望,以及主播的社会临场感如何在互动中增强顾客的信任度。通过这些分析,我们能够更深入地理解电商直播购物背后的运作原理。
量表设计与信度检验
商品社会临场感量表参考了Lili Ye(2012)等人编制的成熟量表,结合研究需求进行了相应的调整,共有三项内容;而消费者购物社会临场感量表则是以Liu等(2011)的量表为基础,经过修改后包含四个题项。研究对消费者在购物过程中的社会临场感、愉悦情绪、信任感等几个潜在变量进行了Cronbach’s Alpha系数的测量。
结果显示,各潜变量的Cronbach’s Alpha系数均超过0.7,达到了基本要求。这说明量表具有较高信度,能够准确测量研究中的各个变量,为实证分析提供了稳定可靠的数据基础。
原因分析与负面案例

电商直播中存在一些问题,这些问题影响了人们对现场的感受和对消费者的信任。首先,直播主要展示商品的品牌、价格和功能,却缺少社交元素,使得消费者难以感受到现场的氛围。其次,商家过分注重商品信息的罗列,却忽略了与消费者的情感交流和互动。
以销售量为导向,在规定时间内无法详尽地介绍和推荐商品,这减少了消费者对我们的信任。部分主播在直播时只是简单带过商品,未能充分解答消费者的疑问 https://www.mssoft.cn,导致消费者感到不安。这些问题无疑对消费者的购买决定产生了负面影响。

积极作用与实际表现
电商直播有其积极的一面,它帮助消费者节省了宝贵的时间,使得他们能在有限的时间里接触到更多的商品信息。这种信息传输让消费者有了观看、挑选和购买的实际感受,而这种感受越强烈,他们对商家的信任也就越深。

在众多电商直播的成功案例里,主播与观众热情交流,详尽阐述商品特性及使用技巧,营造了强烈的社交氛围。这样的氛围提升了消费者的现场体验,进而激发了他们的购买欲望和推荐意愿。这充分说明,在电商直播的消费过程中,社会临场感扮演着至关重要的角色。
在电商直播购物过程中,你是否曾体会到那种现场氛围的感染力?若这篇文章对你有所启发,请记得点赞并转发!

比特派钱包2025官网下载:bit114.app,bit115.app,btp1.app,btp2.app,btp3.app,btbtptptpie.tu5223.cn,tokenim.app,bitp2.app
tpwallet官网下载(TokenPocket)官网是一款安全可靠的多功能数字资产钱包,提供TP钱包的下载与客服支持。TPWallet, TPWallet官方, TPWallet下载,TPWallet最新版支持BTC,ETH,BSC,TRON等所有主流公链,已为全球近千万用户提供安全的数字货币资产管理服务。